The following factors are of vital concern for efficient operation and life time of a TE cooling module/sub-mount:
- Quality of mounting an object to be cooled onto a TE module and a TE module onto a heat rejecting system
- Mechanical strain reduction
- Temperature losses reduction
- Passive heat loads reduction
- Heat rejecting system efficiency
- TE module correct power supply
Quality of mounting an object to be cooled onto a TE module and a TE module onto a heat rejecting system
The efficiency of TE sub-mount as a whole depends on the quality of mounting an object to be cooled onto a TE module and a TE module onto heat rejecting elements.
The mounting can use one of three methods:
- Mechanical (compression using thermal grease),
- Soldering,
- Gluing (adhesive bonding)
Mechanical (Compression Method)
Description. a TE module is placed between two heat exchangers fixed by screws or in another mechanical way. For good thermal conductance a thermal grease should fill the clearances between the plates – see Fig. 1.
The advantage of fixing by screws is the possibility to make a fast and easy disassembling if required, for replacement of TE module, for instance.
But it is suitable for large modules only (commonly with dimensions 30mmx30mm and more). Miniature types require other assembling methods.
Figure 1. Mechanical mounting
Usage and cautions. The mechanical method is recommended when a permanent bond is not desired; or when your TE module dimensions are larger than 15-20 mm and thermal stresses are to be avoided. As a rule, miniature TE modules can do with other assembling methods.
For a specific TE module, the normal compression pressure is not to exceed a value determined for this module individually. It can be estimated with the help of the empirical value 0.1 kg/mm2 on the summed cross-section of the TE material.
It should be noted that in mechanical mounting thermal losses in the fixing elements are inevitable.
Soldering
Description. Soldering is a well-developed and universal method for most of miniature TE modules. This method requires manufacturing of a TE module with metallized outside surfaces (cold and hot sides). KIMT provides this option for TE modules and also makes pre-tinning by solders at a request. This method is illustrated in Fig. 2.
Figure 2. Mounting by soldering
During soldering a TE module is heated for a short time but up to quite high temperatures. Therefore, careful procedures are required:
- Melting point of the mounting solder and the overheating temperature must be always lower than that of the internal solder (melting points for internal and external solders are in Table 1.
- Soldering duration should be as short as possible to reduce overheating time.
Table 1. Solders and melting temperatures
| INTERNAL SOLDERS | ||
| Solder | Composition | Тmelt, °C |
| Tin-Lead | Sn-63%, Pb-37% | 183 |
| Tin-Antimony | Sn-95%, Sb-5% | 230 |
| Gold-Tin | Au-80%, Sn-5% | 280 |
| EXTERNAL SOLDERS | ||
| Solder | Composition | Тmelt, ºC |
| Bismuth-Tin-Lead (Rose) | Bi-50%, Sn-25%, Pb-25% | 94 |
| Indium-Tin | In-52%, Sn-48% | 117 |
| Bismuth-Tin | Bi-57%, Sn-43% | 138 |
| Tin-Lead-Cadmium | Sn-50%, Pb-32%, Cd-18% | 145 |
| Indium | In-100% | 157 |
|
Tin-Lead (for the internal solder Tin-Antimony (230 °C) only) |
Sn-63%, Pb-37% | 183 |
|
Tin-Indium-Silver (for the internal solder Tin-Antimony (230 °C) only) |
Sn-86,9%, In-10%, Ag-3,1% | 206 |
|
Tin-Silver-Copper (SAC) (for the internal solder Gold-Tin (280 °C) only) |
Sn-96,5%, Ag-3,0%, Cu-0,5% | 217 |
Usage and cautions. This method is recommended for TE modules permanent, high-strength junction with good thermal conductivity. As soldering provides quite a rigid mounting, the method is only applicable for miniature TE modules (linear dimensions of sides are less than 15 mm). This method is used when minimal outgassing and high thermal conductivity are required.
Gluing (Adhesive Bonding)
Description: This up-to-date method is widely spread due to availability of glues with good thermoconductive properties. A glue is usually based on some epoxy compound, for example based on silicone, filled with some thermoconductive agents such as diamond, graphite powders, Zinc Oxide, silver, AlN, Al2O3, SiN and others. The method is illustrated in Fig. 3.
Figure 3. Mounting by gluing
Usage and cautions. Gluing can be used when non-rigid constant junction with moderate thermal conductivity is required. Some of epoxies have relatively low operation temperatures and are not suitable for high temperature TE modules. It is not a proper method for high vacuum applications as epoxy involves problems with outgassing.
Mechanical Stress
During mounting, operation, maintenance and transportation of TE modules, mechanical stresses are inevitable, which must be taken into account and, if possible, minimized. It includes:
- Static load
- Thermal expansion strains
- Vibration and shock
Static Load
Figure 4. Static mechanical load per pellet
In TEC construction the most delicate parts are thermoelectric pellets made of Bi2Te3 semiconductors. The thermoelectric material has limited mechanical properties. So, estimations of maximal mechanical loads to TECs are based on strength of thermoelectric material - TE pellets in a TEC.
KIMT recommends the following maximal figures for static mechanical loads:
Table 2. Maximum mechanical static load on TE material
| Permissible Mechanic Load (max) | Per 1 mm2 of cross-section, N/ mm2 |
| Tensile Strength | 5 |
| Compression Force | 5 |
| Shear Force | 2 |
While a thermoelectric material is quite strong in both tension and compression, it tends to be relatively weak in shear.
Examples
Figure 5. Static mechanical load on TE module
Table 3. Estimations of maximal static mechanical load on TE module
| Parameter | Unit | Example 1 | Example 2 |
| TE module | — | 1MC06-070-10 | 1MC04-030-05 |
| Cold side | mm | 12.0x12.0 | 6,4x6,4 |
| Hot side | mm | 12.0x12.0 | 6,4x6,4 |
| Number of pellets | — | 140 | 60 |
| Pellet cross-section | mm2 | 0.6x0.6 | 0.4x0.4 |
| Sum of pellets cross-section | mm2 | 50.4 | 9.6 |
| Maximal load | |||
| Tensile Strength | N | 252 | 48 |
| Compression Force | N | 252 | 48 |
| Shear Force | N | 100 | 19 |
Note. If mechanical mounting is applied, maximal compression force must be divided by the number of screws to estimate load per screw.
Thermal expansion strains
It is necessary to ensure that CTE of attached materials to be close. For example, it is strongly recommended to use heat exchanger materials such as Kovar, CuW or CuMo when mounting a TE module. When using copper, nickel or aluminum, the TE module may fail due to tearing or cracking of TE pellets as a result of high thermomechanical stresses due to the difference of CTE values.
Table 4. CTE of some materials
| Material | CTE×106, 1/K |
| TE material based on Bi2Te3 | 12.9 (^) |
| Ceramics Al2O3 - 100% | 7.2 |
| Ceramics AlN | 4.5 |
| Copper | 16.7 |
| Nickel | 11.9 |
| Aluminum | 22.5 |
| Brass | 18.0 |
| Kovar | 5.5 |
| Copper-Tungsten (10%-90%) | 6.7 |
| Copper-Tungsten (20%-80%) | 8.5 |
| Copper-Tungsten (15%-85%) | 6.9 |
| Copper-Tungsten (25%-75%) | 8.0 |
Vibrations and Shocks
Vibration and shocks are common for most of devices where TECs are installed, particularly portable field applications, military and airspace programs. Thermoelectric modules have high durability to such dynamic loads. They have been successfully subjected to shock and vibration requirements for aircraft, spaceship, shipboard use and most other such applications.
To confirm high durability, TECs are exposed to mechanical testing qualification programs.
Standard mechanical testing is specified in Telcordia GR-468 CORE (Reliability Assurance for Optoelectronic Devices).
Regular TECs withstand the minimal following vibration and shock loads:
- Vibration in a range 20 to 2000 Hz with peak acceleration of 20 g,
- Single impact - 1500 g level shock in all three axis.
Note. During such mechanical testing a dummy mass imitating a cold object is to be mounted on top of TECs.
Temperature Losses Reduction
The total heat load on the TE module is the sum of the active heat load from objects to be cooled, as well as the passive heat load, which is the result of accompanying heat exchange with the environment by convection, thermal radiation and conduction. The passive heat loads reduce the cooling efficiency.
Recommendations on the Passive Thermal Conductive Heat Loads Reduction
In particular, the passive heat load arises from thermal conductance through design elements (for example, through the wires, multiplexers, etc.) that are in thermal contact with an object to be cooled.
As a rule, the opposite end of these elements is connected with the package. If the elements number is N, thermal conductance of the i-th element ki, the opposite end is kept at the temperature Thot and the cold side temperature is Tcold, the passive conductive heat load can be estimated as:
|
* In some cases, temperature losses along the wires cannot be estimated like this. With length a wire’s temperature changes not only due to wires thermal conductivity but also due to thermal exchange with environment (thermal radiation, convection), and Joule heating, if significant. Therefore, the passive heat load value given by Eq. (1) is an underestimation.
It is evident that for reducing this parasitic heat load it is necessary to decrease either thermal conductivity of the connecting elements or the value Thot.
The first option is possible by selecting of the conducting elements material. In Table 5 thermal conductivity values of different metals used for leading wires are given.
Table 5. Thermal conductivity of several metals
| Material | Thermal conductivity, W/mК |
| Aluminum | 237 |
| Gold | 317 |
| Silver | 429 |
| Platinum | 72 |
| Copper | 400 |
For example, we consider the module 1МС04-018-15, the cold side temperature is to be kept at 230 К, the hot one is to be stabilized at 300 K. There are two wires leading from the header to the cold side. The header is at 302 K. The wires diameter is 50 um, the length is 5 mm. If the wires are made of gold the passive heat load equals 19 mW and the necessary cold side temperature is not achievable. If the wires are made of platinum the passive heat load is 4 mW and the problem is solved.
The second option of reducing the thermoconductive heat load is possible due to leading the conductive elements to the design parts of the temperature Т lower than Thot. If the TE module is multistage, these parts can be intermediate cascades of the module. Such an indirect heat removal is often referred to in the engineering as anchoring.
In the simplest case the conductive elements can be leading wires. When anchored, the wires are provided by thermal junction with one of the intermediate stages of a TE module.
Another way to reduce the passive heat load on the TE module cold side is to take the objects that do not require deep cooling (down to Tcold) away from the cold side. Their heat can be removed through the special bridge. The bridge serves as an interface between these objects and an intermediate cascade.
Passive Heat Load Reduction in Gas Environment
As well known, vacuum is an optimal medium in a TE cooling system for reducing passive heat loads, as gas additional thermal conductance and convection heat load are eliminated.

If the environment is gas or if the system vacuum tightness is violated, the TE cooling efficiency decreases due to two aspects:
- Additional thermal conductance between the TE module pellets
In Table 6 the values of thermal conductivity of some most frequently used gases at normal conditions are given as well as estimations of the maximum delta-temperature ΔTmax decrease for the standard single-stage TE module 1MC04-018-15, if the value ΔTmax in vacuum equals 70º. The module hot side is kept at Thot=300 К.
Table 6. Estimations of ΔTmax decrease in gas as compared with vacuum (ΔTmax in vacuum is 70º)
| Gas | Thermal conductivity, W/mК | Decrease in ΔTmax, º |
| Dry air | 0.026 | 1.4 |
| Argon | 0.016 | 0.9 |
| Xenon | 0.0057 | 0.3 |
Obviously, the best gas environment among the options offered is Xenon with poor thermal conductivity.
- Convective thermal exchange between the TE module substrates and gas
Let us analyze convective heat loads for different gases. The convection heat exchange coefficient per surface unity αconv is given by:
|
|
where Nu is the Nusselt number, х is the characteristic size of the TE module substrate, κ is gas thermal conductivity.
In the Table 7 there are calculated values of the convection heat exchange coefficient for some gases at temperature 300 К, ΔT=70º and х=5 mm (for example, the TE module 1МС04-018-15). There are also given passive heat and corresponding delta-temperature ΔTmax reduction estimates.
Table 7. Calculated value of aconv for some gases at 300 К, ΔT=70º х=5 mm, calculated results for Qpas and ΔTmax reduction (1МС04-018-15)
| Gas | αconv, W/m2K | Qpas, mW | Decrease in ΔT, º |
| Dry air | 21.6 | 49 | 6.8 |
| Argon | 14.8 | 34 | 5 |
| Xenon | 8.5 | 19 | 2.7 |
The more inert gas is, the less intensive passive heat flows interfering with TE module efficiency. That should be taken into account when selecting the gas for a non-vacuum operational environment of a TE module.
Recommendations on the Passive Radiation Heat Load Reduction
Unlike convection, radiation is present in vacuum as well. In gas environments the radiation heat load is commonly several times smaller than the convective one. But the problem of its reducing is faced very often.
For reducing passive radiation heat loads screening methods are used.
The radiation flow from object 1 of the temperature Т1 to object 2 of the temperature Т2 can be generally described as:
|
|
where А12 is the radiation exchange coefficient (effective emissivity) between object 1 и and object 2, σB is the Stephan-Botlzman constant, F2 is the surface of object 2 that accepts the radiation heat load.
It is evident that if the cooled surface F2 and its temperature Т2 are given, for reducing the radiation impact two ways are possible:
- the value А12decreasing (for example, applying reflective coating);
- the temperature Т1lowering (for example, applying cold screens and anchoring).
The screen-bridge surface had a bright plating and the height is such that all the TE module parts higher the mounting seats are inside the screen. The screen is cooled as it is mounted on the bottom cascade of the module, which is another advantage for the radiation heat load reduction.
Dew Point Operation
In many cases a TE module provides cooling below ambient temperature. The target temperature often is lower than the dew point.
Operation below dew point leads to water condensation from moist environment. The water condensation is a reason of short circuit in a TE module and degradation of thermoelectric material.
If the operation is non-vacuum, to prevent the problem it is necessary to protect the TE module against moisture. TE modules with special protection are supplied on demand. KIMT provides parylene protection for miniature TECs. For larger modules it is possible to seal the module via perimeter.
Regardless there is such protection or no, for gas environment it is necessary that filling gas should have dew point below target cold temperature.
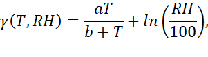
Dependence of dew point on ambient temperature in the air
To estimate the dew point Δd we can use the following equation, where RH is relative humidity, T is ambient temperature, a = 17.27, b = 237.7 °C:
The table shows approximate cooling temperatures for modules of different cascade numbers and the dew point at a given relative humidity. It is evident that the given relative humidity RH takes rather modest values.
| TEC type | Typical cooling temperature, °C | Dew point, °C | RH*, % |
| 1-stage | -20 | -33.6 | 1 |
| 2-stage | -30 | -40.4 | 0.5 |
| 3-stage | -50 | -60.1 | 0.05 |
| 4-stage | -70 | -76.2 | 0.005 |
* - at T=27 °C.
For multistage TEC cooling dry gas environment or vacuum arrangement is required.
2D Temperature Losses
The dimensions of an object to be cooled do not always coincide with the TE module cold side dimensions and it is necessary to make the average temperature of the object to the average temperature of the substrate.
Let us discuss a demonstrative example. Suppose in the center of the cold side sized 16х16 mm2 of a single-stage TE module 1МС06-126-05 (Qmax~28 W) the object 10х10 mm2 is located, the heat load is 10 W. The object temperature is to be maintained 255 K. The TE module hot side temperature Thot=300 К, the operational electric current equals 3 А. The 1D estimates gives that the requirement ΔT=45º is met in these conditions. Let us find a temperature field on the TE module cold side.
ΔTlosses=8.4º
The example of the temperature field on the 16х16 mm2 cold side of the TE module with the localized heat source 10х10 mm2
The value of temperature loss is turned out to be 8.4 K, the average temperature of the object is obtained as 261 К. That means the parameters of the object and the module are in disagreement. If the TE module and the object are determined, it is necessary to increase effective contact (for example, with the help of highly thermally conductive plate or increase of the substrate thickness).
Heat Sink efficiency
Either a TE module or a TE sub-mount must not be operated without a sufficient heat rejection from the hot side.
As a rule, designing a heat sink can be divided into two phases:
- Determining a value of the heat sink thermal resistance Rt as necessary to meet operational requirements;
- Designing of the heat sink system that has thermal resistance not higher than the obtained value Rt
We assume that the operational mode of a TE cooling system is known: a full heat to be pumped Q and necessary ΔT in the described conditions are given. Then we can calculate the TE module/TE sub-mount maximum hot side temperature Thot max to meet the requirements. Let the corresponding heat to be rejected is Qhot. Then the necessary thermal resistance Rt can be calculated as:
Then an experienced designer-thermophysicist selects or develops a radiator (heat sink) to meet the Rt, makes conclusions on necessary free or induced heat exchange between the heat sink and the ambient, recommending a fan or liquid exchanger, if needed.
KIMT has the engineers specialized in this problem. If it should be solved do not hesitate to address to the KIMT R&D.
TE Module Power Supply
A TE module is a DC device. An alternating current of any nature can be detrimental to a TE module efficiency. This can be easily understood if we imagine the electric current as a superposition of the average and variable values. The average value leads to thermoelectric cooling, while the variable value provides only ohmic heating.
Let us estimate the decrease in ΔTmax if there is an AC component. Let at DC of the value I0 the maximum temperature difference equals ΔTmax(DC). We consider two variants of the current I0 modulation.
Sinusoidal Modulation
Consider a current rippled in a sinusoidal way.
АС supply vs time (sinusoidal modulation)
The reduction of a TE module performance due to the ripple can be approximated by the following expression:
|
where NI0 is ripple amplitude around average I0 value, ΔTmax(DC) is maximal temperature difference provided by the TE module according to its specification, ΔTmax(AC) is a reduced actual temperature difference.
The Figure demonstrates the ripple AC component effect in a range of ripple amplitudes ΔTmax(AC) vs N for a single-stage TE module with ΔTmax(DC)=70º.
ΔTmax(AC) vs N at the nominal ΔTmax(AC)=70 º. Sinusoidal modulation.
Pulse-Width Modulation
Let us consider a current modulated pulse-width – see the Figure. Here Q=τ/T, NI0 is modulation amplitude around the average I0 value of current.
АС supply vs time (pulse-width modulation)
The reduction of a TE module performance can be estimated as:
|
|
The results illustrating the efficiency reduction at ΔTmax(DC) = 70º are given in the Figure.
ΔTmax(AC) vs N at the nominal ΔTmax(AC)=70 º. Pulse-width modulation at various values Q
Temperature difference on the TEC depending on the electric current for a DC source and PWM. The Q parameter is given in parentheses in the legend.
The above study shows that the more intensive the deviation of the electric current from the DC component, the less efficient a Peltier module operation.
The allowable modulation level N for temperature decrease not exceeding 0.5ºC is estimated as 0.05 – 0.1.
PID and PWM
The temperature control of a TE module is often based on a proportional-integral-derivative (PID) control mechanism, which is control loop feedback commonly used in industrial systems. A PID controller calculates an "error" value as the difference between the measured process variable and the desired setpoint. Such a controller attempts to minimize the error by adjusting the controlled parameters. This method has always been considered to be quite reliable.
As an alternative to the PID method, pulse-width modulation (PWM) control, discussed above, is also currently popular. Here, a variable supply can be applied using a form of proportional time distribution - the time period is fixed and the change is achieved by varying the duty cycle Q. With a sufficiently high time resolution, this method can give satisfactory performance. Such controllers are cheaper, so many attempts have been made recently to apply them to a wide range of tasks, including TE module temperature control. However, as shown above, the PWM method always results in TE module efficiency decrease, and this should not be overlooked.
Summary
- Soldering is a preferable method for assembling miniature single- and multi-stage TECs.
- Thermoelectric material is stronger in tension and compression than in shear.
- TEC is a direct current semiconductor device. Any alternating current has a detrimental effect on the efficiency of the module.
- PWM reduces the efficiency of the TEC.
- Limit the ripple factor of the power supply to less than 10%.
- Never use the TEC without a heat sink.
- Try to avoid excessive overheating of the TEC.
- A properly selected heat sink helps to increase the efficiency of the TEC.
- Copper-Tungsten and Copper-Molybdenum materials are preferred as materials for TEC heat-rejecting system.
- Consideration of the gas environment is necessary for proper temperature control of the TEC.
- To operate a TEC in a gas-filled environment, it is necessary to use either dry gas or moisture protection of the TEC.
- For a multi-stage TEC, the vacuum environment is preferable.